Mass Time Momentum (MTP)
Geometrical Physics Model


if we assign geometrical objects to mass, space and time at the Planck scale,
and then link them via this unit number relationship, 
we can build a physical universe from pure mathematical structures.
Could a Programmer God have used this approach?




Via this geometrical trick, we can make physical units (kg, m, s, A) from mathematical objects



This website introduces a part of the source code for a Planck-scale simulation universe - this is the Programmer God hypothesis (that the universe, in its entirety, including life-forms, is a simulation programmed by an external 'hand'). Essentially it is a model of the universe based on the structure of the electron as this mathematical particle fe, itself the geometry of 2 dimensionless physical constants (alpha and Omega).



The fundamental problem for any Programmer God is - how to create actual physical dimensions (of mass, space and time), from mathematical structures. This is because a simulation universe is dimensionless, for it does not 'exist' in any physical sense outside of the 'Computer' (it is simply data on a celestial hard-disk).

We are familiar with opposites; plus charge and minus charge, waves of inverse phase ... and it is easy to see how these may form and/or cancel each other, however these are simply inverse properties.



Our universe does not appear to have inverse properties such as anti-mass (-kg), anti-time (-s) or anti-space (anti-length -m), yet it is a requirement that our mass, space and time must also be able to cancel - in order that the sum universe remain dimension-less.

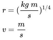
Our Programmer has solved this problem by using the following geometrical artifice. Briefly, we begin by selecting 2 dimensioned quantities, here are chosen r, v such that;


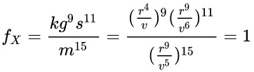
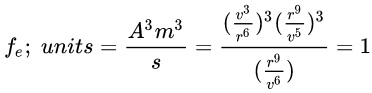
No unit can cancel another (I cannot replace kg with m or s), and so we still have 4 independent units, however if 3 (or more) combine together, then we can cancel. For example;

Embedded within this fX are units for mass, time and length (in the above ratio), but fX is dimensionless, the r, v units have cancelled, units = 1 (i.e.: fX has no units by which it may be measured, it is a mathematical structure).



r, v have dimensions, so we can use SI units;

Given that for fX the units = 1;


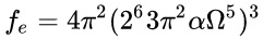
If we can reduce the units (kg, m, s, A) to units = 1 via this method, then we can do the reverse and create units (kg, m, s, A) from 1. The next, and even bigger problem our Programmer must solve is mass, space and time itself. What are they? The first clue is that they are embedded within fX structures, for this was how problem #1 was solved, and fortunately we have an fX we can disassemble, it is the electron formula fe. This also means that although fe will embed the physical electron parameters (of wavelength m, mass kg, frequency s, charge A...) the electron itself is a mathematical particle, there is no physical electron, for fe units = 1. We find that fe can be divided into A-m = ampere-meters and time s (note: the ampere-meter is the unit for a magnetic monopole).

The formula for fe resembles the formula for a (doughnut shape) torus (2π2r3), in other words, those parameters of the electron are embedded within a geometrical formula, and so those parameters are themselves also geometrical formulas (geometrical objects).




Decoding fe, gives a table of our physical dimensions as geometrical objects MLTVA along with the unit number relationship that links them together (r = 8, v = 17).


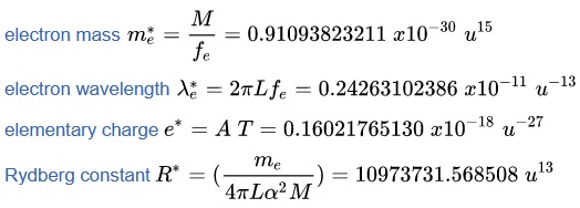
We can determine the values for alpha α, Omega Ω, r and v and so can solve those MLTA geometries and from there the electron parameters. This means that all the information needed to make the electron of physics is embedded in this electron formula fe.


From these MLTVA geometries (geometrical objects) , we can also solve the physical constants (G, h, c, e, me, kB), once again, all the information needed is embedded in that electron formula.



What does this mean?

Physics defines the 'physical-ness' of our universe via these physical constants. The speed of light c = 299792458 meters/second (m/s), the mass of the electron me is measured in kilograms (kg), electric charge is measured in amperes (A)... We cannot measure the distance from Tokyo to London in kilograms or amperes, and even if we could numerically, the units (m, kg, A) don't match. A physical universe requires that somehow mass space and time exist, that mass is, time is, space is ....

The above solutions would then appear to be incompatible with a physical universe, for if the electron is a mathematical particle, then so too is the proton, and the atom .... and if our universe is a construct of mathematical particles, then ... so too are we.

If these 'anomalies' (aka the above table) are statistically valid (solved to the required precision), then they can be construed as evidence that we are in a simulation, and also therefore as our first evidence of a non-human intelligence, the Programmer.

For those familiar with the dimensioned physical constants and the SI units, I have listed those anomalies on this wiki site.

Are these physical constant anomalies evidence we are in a simulation?
wiki: Physical constants (anomalies)



This model suggests a geometrically autonomous universe, electrons orbit protons for example, not due to any inbuilt laws of physics, but according to geometrical imperatives (the respective geometries of the electron and proton).